![]() АДМИНИСТРАЦИЯ БОГОТОЛЬСКОГО РАСПОРЯЖЕНИЕ |
||
|
12.03.2026 |
г. Боготол |
№ 248-р |
|
Об утверждении Порядка проведения оценки эффективности управления муниципальными унитарными предприятиями, осуществляющими деятельность в сфере жилищно-коммунального хозяйства |
||
В соответствии с Федеральным законом от 20.03.2025 № 33-ФЗ «Об общих принципах организации местного самоуправления в единой системе публичной власти», приказом министерства строительства и жилищно-коммунального хозяйства Красноярского края от 28.09.2017 № 387-О «О проведении оценки эффективности управления муниципальными унитарными предприятиями, осуществляющими деятельность в сфере жилищно-коммунального хозяйства», руководствуясь Уставом Боготольского муниципального округа Красноярского края:
1. Утвердить сроки предоставления показателей эффективности управления муниципальными унитарными предприятиями, осуществляющими деятельность в сфере жилищно-коммунального хозяйства с 01 по 13 марта текущего года.
2. Утвердить показатели эффективности управления предприятиями, осуществляющими деятельность в сфере жилищно-коммунального хозяйства согласно приложению 1 к настоящему распоряжению.
3. Утвердить Критерии оценки эффективности управления предприятиями, осуществляющими деятельность в сфере жилищно-коммунального хозяйства согласно приложению 2 к настоящему распоряжению.
4. Утвердить Порядок проведения оценки эффективности управления муниципальными унитарными предприятиями, осуществляющими деятельность в сфере жилищно-коммунального хозяйства согласно приложению 3 к настоящему распоряжению.
5. Утвердить состав комиссии по проведению оценки эффективности управления муниципальными унитарными предприятиями, осуществляющими деятельность в сфере жилищно-коммунального хозяйства согласно приложению 4 к настоящему распоряжению.
6. Утвердить Положение о комиссии по проведению оценки эффективности управления муниципальными унитарными предприятиями, осуществляющими деятельность в сфере жилищно-коммунального хозяйства согласно приложению 5 к настоящему распоряжению.
7. Контроль за исполнением настоящего распоряжения возложить на первого заместителя Главы Боготольского муниципального округа по жизнеобеспечению.
8. Распоряжение подлежит размещению на официальном сайте в сети «Интернет».
9. Распоряжение вступает в силу на следующий день после его подписания.
Глава Боготольского
муниципального округа
А.В. Байков
Щепаняк Николай Тадеевич
Матвеева Татьяна Юрьевна
8(39157)6-34-25
Приложение 1
к распоряжению Администрации
Боготольского муниципального округа
от 12.03.2026 № 248-р
ПОКАЗАТЕЛИ ЭФФЕКТИВНОСТИ УПРАВЛЕНИЯ ПРЕДПРИЯТИЯМИ, ОСУЩЕСТВЛЯЮЩИМИ ДЕЯТЕЛЬНОСТЬ В СФЕРЕ ЖИЛИЩНО-КОММУНАЛЬНОГО ХОЗЯЙСТВА
1. Показатель, характеризующий выполнение плановых показателей надежности, качества и энергетической эффективности в соответствии с законодательством Российской Федерации за отчетный период (Пкач.), определяемый в следующем порядке:
а) при наличии производственной и (или) инвестиционной программы Предприятия, содержащей показатели надежности, качества и энергетической эффективности:
Пкач. = 0, если в ходе реализации производственной и (или) инвестиционной программы Предприятия не достигнуты показатели надежности, качества и энергетической эффективности за отчетный период:
Пкач. = 1, если в ходе реализации производственной и (или) инвестиционной программы Предприятия достигнуты показатели надежности, качества и энергетической эффективности за отчетный период;
б) при отсутствии инвестиционной программы Предприятия либо в случае, если инвестиционная и (или) производственная программа Предприятия не содержит показатели надежности, качества и энергетической эффективности:
Пкач. = 0, если количество не исполненных в срок предписаний уполномоченного надзорного органа о несоблюдении установленных требований к качеству превышает одно предписание;
Пкач. = 1, если количество не исполненных в срок предписаний уполномоченного надзорного органа о несоблюдении установленных требований к качеству не превышает одного предписания.
2. Показатель, характеризующий наличие нецелевого использования бюджетных средств (Пнецелев.), определяемый в следующем порядке:
Пнецелев. = 1, если проверка целевого использования бюджетных средств, проведенная в отчетный год, не выявила нецелевое использование бюджетных средств за отчетный год;
Пнецелев. = 0, если проверка целевого использования бюджетных средств, проведенная в отчетный год, выявила нецелевое использование бюджетных средств за отчетный год.
3. Показатель, характеризующий соблюдение установленных в соответствии с законодательством Российской Федерации сроков рассмотрения жалоб от заявителей на ненадлежащее качество услуг, оказываемых Предприятиями (Побр.), определяемый в следующем порядке:
Побр. = Nобр.нар.ср.,
где:
Побр. - показатель соблюдения установленных сроков рассмотрения жалоб от заявителей на ненадлежащее качество услуг, оказываемых Предприятиями.
Nобр.нар.ср. - число жалоб потребителей услуг на ненадлежащее качество услуг, по которым Предприятиями в соответствующий отчетный период направлен ответ потребителю с нарушением сроков, установленных в соответствии с нормативными актами, стандартами обслуживания клиентов указанных Предприятий, организационно-распорядительными документами (шт.).
Если Nобр.нар.ср.= О, то Побр. = 1.
Если Nобр.нар.ср. 1, то Побр. = 0.
4. Показатель, характеризующий оборачиваемость кредиторской задолженности Предприятия (По.к.з.), определяемый в следующем порядке:
По.к.з. = 0, если оборачиваемость кредиторской задолженности > 40 (дней);
По.к.з. = 1, если оборачиваемость кредиторской задолженности 40 (дней),
где:
По.к.з. - показатель, характеризующий оборачиваемость кредиторской задолженности Предприятия, как отношение кредиторской задолженности к выручке от реализации по основному виду деятельности, умноженное на количество дней в отчетном периоде.
5. Показатель, характеризующий отсутствие аварийных ситуаций, ликвидированных с нарушением нормативных сроков, установленных законодательством Российской Федерации и нормативно-технической документацией, за отчетный период (Пл.ав.с.), определяемый в следующем порядке:
Пл.ав.с. = Кав.нар.ср.,
где:
Пл.ав.с. - показатель, характеризующий отсутствие аварийных ситуаций, ликвидированных с нарушением нормативных сроков за отчетный период;
Кав.нар.ср. - количество аварийных ситуаций, ликвидированных с нарушением нормативных сроков за отчетный период (не учитываются аварийные ситуации, возникновение которых обусловлено обстоятельствами непреодолимой силы).
Если Кав.нар.ср. = 0, то Пл. ав. с. = 1.
Если Кав.нар.ср. 1, то Пл. ав. с. = 0.
6. Показатель, характеризующий соблюдение Предприятием требований к раскрытию информации в соответствии со стандартами раскрытия информации, утвержденными Правительством Российской Федерации (Пстанд.), определяемый в следующем порядке:
Пстанд. = 0, если количество выявленных уполномоченными органами государственного контроля (надзора) в области регулирования цен (тарифов) нарушений стандарта раскрытия информации составляет два и более раз за отчетный период;
Пстанд. = 1, если количество выявленных уполномоченными органами государственного контроля (надзора) в области регулирования цен (тарифов) нарушений стандарта раскрытия информации составляет менее двух раз за отчетный период.
7. Показатель, характеризующий наличие финансовой поддержки Предприятия за счет средств субъекта Российской Федерации (органов местного самоуправления) на покрытие операционных расходов Предприятия за отчетный период (Пф.подд.), за исключением установленных законодательством Российской Федерации случаев возмещения недополученных доходов, при осуществлении регулируемых видов деятельности Предприятием, определяемый в следующем порядке:
Пф.подд. = 0, если за счет средств субъекта Российской Федерации (органа местного самоуправления) в отчетном периоде оказывалась финансовая поддержка Предприятия на покрытие операционных расходов Предприятия два и более раза;
Пф.подд. = 1, если финансовая поддержка Предприятия на покрытие его операционных расходов за счет средств субъекта Российской Федерации (органа местного самоуправления) в отчетном периоде не оказывалась или оказывалась не более одного раза.
После оценки по 7 показателями и определения неэффективного управления Предприятием к оставшимся Предприятиям, управление которыми оценено как «эффективное», «достаточно эффективное», «условно эффективное» и с «низким уровнем эффективности управления», проводиться дополнительная оценка по дополнительным критериям оценки эффективности управления Предприятиями, на основании двух критериев:
1. Несоответствие качества предоставляемых услуг в сфере теплоснабжения, водоснабжения и водоотведения законодательно установленным нормам. В случае оказания услуг по всем видам коммунальных ресурсов (услуг) управление Предприятием признается неэффективным в случае выявления вышеуказанных нарушений хотя бы по одному виду ресурса (услуги).
1.1. В части осуществления холодного (питьевого) водоснабжения, унитарное предприятие признается неэффективным в случае наличия за последние 3 отчетных периода хотя бы одного из следующих условий:
1) наличие более 10% проб питьевой воды, подаваемой с источников водоснабжения, водопроводных станций или иных объектов централизованной системы водоснабжения в распределительную водопроводную сеть либо проб питьевой воды из распределительной сети, не соответствующих СанПиН ««Санитарно-эпидемиологические требования к содержанию территорий городских и сельских поселений, к водным объектам, питьевой воде и питьевому водоснабжению, атмосферному воздуху, почвам, жилым помещениям, эксплуатации производственных, общественных помещений, организации и проведению санитарно-противоэпидемических (профилактических) мероприятий». СанПиН 2.1.4.3684-21», утвержденные Главным государственным санитарным врачом Российской Федерации 28.01.2021 (далее - СанПиН 2.1.4.3684-21), при этом унитарное предприятие не имеет принятого в соответствии со статьей 23 Федерального закона от 07.12.2011 № 416-ФЗ «О водоснабжении и водоотведении» (далее – Федеральный закон № 416-ФЗ) плана мероприятий по приведению качества питьевой воды в соответствие с установленными требованиями либо имеет нарушение такого плана по итогам года два года подряд (применяется для унитарных предприятий, зарегистрированных в качестве юридического лица не позднее 1 января 2014 года);
2) 50% и более процентов от общего количества нарушений бесперебойного круглосуточного холодного водоснабжения, ликвидировались с нарушением требований, установленных действующим законодательством Российской Федерации
Справочно: допустимая продолжительность перерыва подачи холодной воды: 8 часов (суммарно) в течение 1 месяца, 4 часа единовременно, при аварии в централизованных сетях инженерно-технического обеспечения холодного водоснабжения - в соответствии с требованиями законодательства Российской Федерации о техническом регулировании, установленными для наружных водопроводных сетей и сооружений («СП 31.13330.2021 «Водоснабжение. Наружные сети и сооружения»)
1.2. В части осуществления водоотведения, унитарное предприятие признается неэффективным в случае наличия за последние 3 отчетных периода хотя бы одного из следующих условий:
1) отсутствие оформленного в установленном порядке решения о предоставлении водного объекта в пользование или разрешения на сброс загрязняющих веществ в водный объект (применяется для унитарных предприятий, зарегистрированных в качестве юридического лица не позднее 1 января 2014 года);
2) доля проб сточных вод, не соответствующих установленным нормативам допустимых сбросов или лимитам на сбросы, составляет 30 и более % от общего количества проб сточных вод и унитарное предприятие не имеет принятого в соответствии со статьей 26 Федерального закона № 416-ФЗ плана снижения сбросов (применяется для унитарных предприятий, зарегистрированных в качестве юридического лица не позднее 1 января 2014 года);
3) 50% и более процентов от общего количества нарушений бесперебойного круглосуточного водоотведения ликвидировалось с нарушением требований, установленных действующим законодательством Российской Федерации.
Справочно: В течение года (допустимая продолжительность перерыва водоотведения: не более 8 часов (суммарно) в течение 1 месяца, 4 часа единовременно (в том числе при аварии). Раздел III приложения № 1 к Правилам предоставления коммунальных услуг собственникам и пользователям помещений в многоквартирных домах и жилых домов, утвержденным постановлением Правительства Российской Федерации от 06.05.2011 г. № 354.
1.3. В части осуществления теплоснабжения, унитарное предприятие признается неэффективным в случае если за последние 3 отчетных периода 50% и более процентов от общего количества нарушений бесперебойного круглосуточного теплоснабжения (отопления) в течение отопительного периода ликвидировалось с нарушением требований, установленных действующим законодательством Российской Федерации.
Справочно: допустимая продолжительность перерыва отопления:
не более 24 часов (суммарно) в течение 1 месяца;
не более 16 часов единовременно - при температуре воздуха в жилых помещениях от +12 °C до нормативной температуры;
не более 8 часов единовременно - при температуре воздуха в жилых помещениях от +10 °C до +12 °C;
не более 4 часов единовременно - при температуре воздуха в жилых помещениях от +8 °C до +10 °C);
Раздел VI приложения № 1 к Правилам предоставления коммунальных услуг собственникам и пользователям помещений в многоквартирных домах и жилых домов, утвержденным постановлением Правительства Российской Федерации от 06.05.2011 № 354.
1.4. В части осуществления электроснабжения, унитарное предприятие признается неэффективным в случае, если за последние 3 отчетных периода 50% и более процентов от общего количества нарушений бесперебойного круглосуточного электроснабжения в течение года ликвидировалось с нарушением требований, установленных действующим законодательством Российской Федерации.
Справочно: Бесперебойное круглосуточное электроснабжение в течение года (допустимая продолжительность перерыва электроснабжения):
2 часа - при наличии двух независимых взаимно резервирующих источников питания;
24 часа - при наличии 1 источника питания).
При этом, перерыв в предоставлении коммунальной услуги электроснабжения не допускается, если он может повлечь отключение сетей и оборудования, входящего в состав общего имущества в многоквартирном доме, в том числе насосного оборудования, автоматических устройств технологической защиты и иного оборудования, обеспечивающего безаварийную работу внутридомовых инженерных систем и безопасные условия проживания граждан.
2. Наличие у предприятия убытка от основной деятельности за последние три отчетных периода.
Оценка унитарного предприятия по этому критерию осуществляется следующим образом.
Для определения показателя «Наличие убытка от основной деятельности за последние 3 отчетных периода» необходимо взять форму «Отчет о финансовых результатах» за 9 месяцев текущего года и за два предыдущих года (входит в состав бухгалтерской отчетности предприятия).
Кроме того, дополнительно безусловным признаком убыточности унитарного предприятия является его нахождение в состоянии банкротства (независимо от стадии).
Приложение 2
к распоряжению Администрации
Боготольского муниципального округа
от 12.03.2026 № 248-р
Критерии оценки эффективности управления предприятиями, осуществляющими деятельность в сфере жилищно-коммунального хозяйства
от 1 до 0,8 баллов - эффективное управление Предприятием;
от 0,8 до 0,6 баллов - достаточно эффективное управление Предприятием;
от 0,6 до 0,4 баллов - условно-эффективное управление Предприятием с необходимостью совершенствования по отдельным направлениям деятельности;
от 0,4 до 0,2 баллов - низкий уровень эффективности управления Предприятием;
ниже 0,2 баллов - неэффективное управление Предприятием.
Приложение 3
к распоряжению Администрации
Боготольского муниципального округа
от 12.03.2026 № 248-р
ПОРЯДОК
проведения оценки эффективности управления муниципальными унитарными предприятиями, осуществляющими деятельность в сфере жилищно-коммунального хозяйства
1. Общие положения
1.1. Настоящий порядок проведения оценки эффективности управления муниципальными унитарными предприятиями (далее - Предприятиями), осуществляющими деятельность в сфере жилищно-коммунального хозяйства (далее - Порядок), определяет:
цель оценки;
порядок организации и проведения оценки.
2. Цель оценки
Оценка эффективности управления Предприятиями, осуществляющими деятельность в сфере жилищно-коммунального хозяйства.
3. Порядок организации и проведения оценки
1. Оценку эффективности управления Предприятиями проводит комиссия по проведению оценки (далее – Комиссия).
2. Комиссия проводит сопоставление значений рекомендуемых показателей, утвержденных для Предприятия в соответствии с приложением 1 Распоряжения, на каждый отчетный период (календарный год) с фактическими значениями рекомендуемых показателей, установленных для Предприятия по итогам соответствующего отчетного периода с целью оценки эффективности управления Предприятием.
3. В случае отсутствия у Предприятия фактических данных для первого отчетного периода, на который устанавливаются плановые значения рекомендуемых показателей, плановые значения определяются по имеющимся фактическим данным за неполный отчетный период с приведением их до значений за полный период.
4. Фактические значения рекомендуемых показателей рассчитываются в отношении Предприятия по формулам, приведенным в приложении 1 Распоряжения, на основании данных, полученных за соответствующий отчетный период от Предприятия.
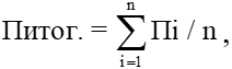
5. Расчет итогового показателя эффективности управления Предприятием определяется по формуле:

где:
n - количество показателей.
Рекомендуемый показатель считается исполненным, если Пi = 1.
Рекомендуемый показатель считается неисполненным, если Пi = 0.
6. Оценку эффективности управления Предприятиями Комиссия осуществляет на основании критериев, утвержденных настоящим Распоряжением.
Приложение 4
к распоряжению Администрации
Боготольского муниципального округа
от 12.03.2026 № 248-р
СОСТАВ
комиссии по проведению оценки эффективности управления муниципальными унитарными предприятиями, осуществляющими деятельность в сфере жилищно-коммунального хозяйства
| Председатель комиссии | Первый заместитель Главы Боготольского муниципального округа по жизнеобеспечению |
| Заместитель председателя комиссии | Начальник отдела ЖКХ, транспорта и жилищной политики |
| Секретарь комиссии | Специалист 1 категории отдела ЖКХ, транспорта и жилищной политики |
| Члены комиссии: | |
| Руководитель управления экономического развития и планирования | |
| Руководитель правового управления |
Приложение 5
к распоряжению Администрации
Боготольского муниципального округа
от 12.03.2026 № 248-р
ПОЛОЖЕНИЕ
о комиссии по проведению оценки эффективности управления муниципальными унитарными предприятиями, осуществляющими деятельность в сфере жилищно-коммунального хозяйства
1. Общие положения
1.1. Настоящее Положение регулирует деятельность комиссии по проведению оценки эффективности управления муниципальными унитарными предприятиями (далее - Предприятия), осуществляющими деятельность в сфере жилищно-коммунального хозяйства (далее - Комиссия).
1.2. Комиссия в своей деятельности руководствуется Конституцией Российской Федерации, Бюджетным кодексом РФ, действующим федеральным законодательством, законодательством Красноярского края, Уставом Боготольского муниципального округа Красноярского края и настоящим Положением.
1.3. Комиссия состоит из председателя Комиссии, заместителя председателя, секретаря и членов Комиссии.
2. Полномочия Комиссии
2.1. Комиссия осуществляет следующие полномочия:
рассмотрение показателей эффективности управления Предприятиями;
расчет итогового показателя эффективности управления Предприятием;
оценка эффективности управления Предприятиями.
3. Порядок работы Комиссии
3.1. Представленные Предприятиями для рассмотрения показатели Комиссия рассматривает в течение 5 рабочих дней и дает оценку деятельности Предприятия.
3.2. Заседание Комиссии считается правомочным, если на нем присутствует не менее двух третей от общего числа членов Комиссии.
3.3. Заседание Комиссии проводит ее председатель.
3.4. Секретарь Комиссии организует подготовку и проведение заседаний Комиссии, ведет протокол заседаний Комиссии.
3.5. Решение Комиссии оформляется протоколом, который подписывается председателем и секретарем Комиссии.
3.6. Протокол заседания Комиссии направляется Главе Боготольского муниципального округа.
3.7. Результаты проведенной оценки эффективности управления Предприятиями направляются в министерство строительства и жилищно-коммунального хозяйства Красноярского края в установленные министерством сроки.
|
Документ |
Дата публикации |
|---|---|
| Текст распоряжения с приложением в формате PDF |
13.03.2026 |

